G
A
B
D
E
F
G
K
L
M
N
P
V
Galīga virkne
Virkni sauc par galīgu, ja tās locekļu skaits ir galīgs
Ģeometriskā progresija
Virkni, kuras katru nākamo locekli iegūst iepriekšējo locekli sareizinot ar vienu un to pašu skaitli sauc par ģeometrisko progresiju. Šo skaitli sauc par ģeometriskās progresijas kvocientu q.
Tātad a2 = a1 ∙q, a3 = a2 ∙q, a4 = a3 ∙q,..., an = an−1 ∙q
Ģeometriskās progresijas vispārīgā locekļa aprēķināšanas formula an = a1 ∙qn−1
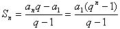
Ģeometriskās progresijas pirmo n locekļu summas aprēķināšanas formula
