3.6. Datu kopas izkliedes mēri
Izkliedes mēri raksturo, cik ļoti datu kopas elementi atšķiras viens no otra jeb cik ļoti tie ir izkliedēti un atšķiras no kopas aritmētiskā vidējā.
Amplitūda (R) ir starpība starp kopas lielāko un mazāko vērtību.
Piemērs.
Kopas {1, 1, 1, 3, 3, 4, 5, 6, 6, 7, 7, 7, 8, 9, 9, 10} amplitūda R = 10 - 1 = 9.
Amplitūdu nekad nevajadzētu lietot kā vienīgo kopas elementu izkliedes mēru, jo gadījumos, kad kopā ir atsevišķi ļoti lieli un ļoti mazi elementi, amplitūda būs liela, bet tā nesniegs nekādu informāciju par pārējiem kopas elementiem.
Visbiežāk statistikā izmantotais datu kopas izkliedes mērs ir standartnovirze
(s), kas raksturo vērtību izkliedi ap vidējo aritmētisko vērtību. Ja ir zināma vidējā aritmētiskā vērtība un standartnovirze, ir iespējams noteikt vērtību novietojumu attiecībā pret aritmētisko vidējo. Standartnovirze parāda, kā izvietojas vērtību galvenā daļa attiecībā pret aritmētisko vidējo.
Formulas
Standartnovirzes kvadrātu aprēķina pēc šādas formulas

vai
kur
f1,
f2 ... ir attiecīgā elementa biežums. Standartnovirze
Piemērs.
Lai ērti aprēķinātu standartnovirzi, ieteicams biežumu tabulu papildināt ar trim kolonnām:

,
2 un
2 ·
f.
Šos aprēķinus ērti veikt EXCEL programmatūras vidē.
Vispirms izrēķina vidējo vērtību

Lai aprēķinātu

,
2 un
2 ·
f vērtības, aktivizē tabulas šūnas ar atbilstošajām formulām.
Tālāk
Tad, izmantojot formulu, aprēķinām standartnovirzes kvadrātu:
| Jo mazāka standartnovirze (līkne A), jo vairāk vērtību atrodas tuvāk vidējai aritmētiskai vērtībai, jo lielāka standartnovirze (līkne C) – jo lielāka vērtību izkliede attiecībā pret vidējo aritmētisko vērtību.
|
|
Ir pierādīts, ka vismaz 75 % visu datu atrodas divu standartnoviržu attālumā (
) no vidējās vērtības un mazākais 89 % no visiem datiem atrodas trīs standartnoviržu attālumā (
) no vidējās vērtības.
Standartnovirzes aprēķināšana
Piemērs.
Zināms, ka katrs no astoņiem darbiniekiem ir nostrādājis firmā šādu gadu skaitu:
Lai iegūtu standartnovirzi, aprēķina:
1) vidējo aritmētisko vērtību:
(gadi);
2) novirzes no vidējā (starpības starp katru vērtību un vidējo vērtību)
;
3) noviržu kvadrātus
;
4) noviržu kvadrātu summu ∑
;
5) noviržu kvadrātu vidējo vērtību
;
6) standartnovirzi, kas ir kvadrātsakne no noviržu kvadrātu vidējās vērtības.
Vērtības un aprēķinos iegūtos rezultātus pārskatāmi var apkopot tabulā:
| x
|
 |
 |
|
1 |
1-5 = -4 |
16 |
|
5 |
5-5 = 0 |
0 |
|
6 |
6-5 = 1 |
1 |
|
3 |
3-5 = -2 |
4 |
|
2 |
2-5 = -3 |
9 |
|
10 |
10-5 = 5 |
25 |
|
7 |
7-5 = 2 |
4 |
|
6 |
6-5 = 1 |
1 |
|
|
|
∑ = 60
|
Noviržu kvadrātu vidējā vērtība 
Standartnovirze
gadi.
Šajā situācijā divu standartnoviržu attālumā no vidējās vērtības (5 - 2 · 2,74; 5 + 2 · 2,74), jeb intervālā (-0,48; 10,48) atrodas visi dati. Vienas standartnovirzes attālumā no vidējās vērtības (5 - 2,74; 5 + 2,74) = (2,26; 7,74) atrodas 5 vērtības (5; 6; 3; 7; 6 ) no astoņām jeb 62,5 %, tātad varam spriest, ka lielākā darbinieku daļa firmā ir nostrādājusi tādu gadu skaitu, kas ir pietiekami tuvu vidējai vērtībai 5 gadi.
Līdzīgi standartnovirzi aprēķina datiem, kas sakārtoti biežuma tabulā.
Piemērs.
Tabulā ir apkopoti dati par telefona zvanu skaitu, ko saņēmuši firmas darbinieki vienas dienas laikā:
| Zvanu skaits (x)
|
Firmas darbinieku skaits (f)
|
| 3
|
9
|
| 8
|
15
|
| 13
|
13
|
|
18 |
3 |
|
Kopā: |
40 |
Tālāk
Lai iegūtu standartnovirzi, datus sakārto tabulā un papildina to ar aprēķiniem.
| Zvanu
skaits (x)
| Firmas darbinieku skaits (f)
|
Zvanu kopskaits (x × f)
|
|
3
|
9
|
27 |
| 8
| 15 |
120 |
| 13
| 13 |
169 |
| 18 | 3 |
54 |
|
Kopā: |
40 |
370 |
Tālāk
Lai iegūtu standartnovirzi, aprēķina:
1) vidējo zvanu skaitu vienam darbiniekam;
2) novirzes no vidējā, katra zvanu skaita
x
starpību ar vidējo vērtību;

3) noviržu kvadrātus;
| Zvanu
skaits (x)
| Firmas darbinieku skaits (f)
| Zvanu kopskaits (x × f)
|
|
2 |
|
3
|
9
|
27 |
-6,25
|
39,0625 |
| 8
| 15 | 120 |
-1,25 |
1,5625 |
| 13
| 13 | 169 |
3,75 |
14,0625 |
| 18 | 3 | 54 |
8,75 |
76,5625 |
|
|
∑f = 40 |
∑(x×f) = 370 |
|
|
Tālāk
4) noviržu kvadrātu summu -
lai noteiktu visu starpību kvadrātu summu, katru no iegūtajiem skaitļiem pēdējā kolonnā reizina ar atbilstošo darbinieku skaitu un saskaita.
| Zvanu
skaits (x)
| Firmas darbinieku skaits (f)
| Zvanu kopskaits (x × f)
| | 2 |
2× f |
|
3
|
9
|
27 |
-6,25
|
39,0625 |
351,5625
|
| 8
| 15 | 120 | -1,25 | 1,5625 |
23,4375
|
| 13
| 13 | 169 | 3,75 | 14,0625 |
182,8125
|
| 18 | 3 | 54 | 8,75 | 76,5625 |
229,6875
|
|
|
∑f = 40 |
∑(x×f) = 370 |
|
|
2
× f = 787,5 |
5) noviržu kvadrātu vidējo vērtību

un standartnovirzi, kas ir kvadrātsakne no noviržu kvadrātu vidējās vērtības

zvani.
Secinošajā statistikā, kad secinājumus par ģenerālkopu izdara, izmantojot izlases rādītājus,
standartnovirzi aprēķina pēc citas formulas. Skolas matemātikas kursā lietosim tikai formulu
, kas der gan izlases standartnovirzes aprēķināšanai, gan visas kopas standartnovirzes aprēķināšanai, ja pieejami dati par visu ģenerālkopu.
Apskatītajā veidā (izmantojot formulu ) tiek aprēķināta standartnovirze izlasei. Ja nepieciešams attiecināt informāciju, kas iegūta pētot izlasi uz visu ģenerālkopu, lieto formulu

, jo pierādīts, ka tā aprēķināta standartnovirze precīzāk raksturo ģenerālkopu.
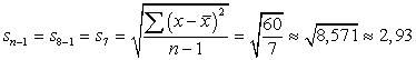
Ja apskatītajā piemērā 8 darbinieki ir izlase, kas reprezentē visus firmas darbiniekus, un nepieciešams šos datus attiecināt uz visu firmu, tad standartnovirzi aprēķina šādi:
Šos aprēķinus ir ērti veikt MS EXCEL vidē.