2. uzdevums
Piramīdas pamats ir trijstūris ABC, AB = 6 cm, BC = 10 cm, leņķis ABC = α. Uzraksti piramīdas augstumu H kā funkciju no α, ja piramīdas tilpums ir V! Atrodi funkcijas H(α)
minimālo vērtību! Nosaki pamatā esošā trijstūra veidu!
Atrisinājums
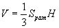
Piramīdas tilpumu V var aprēķināt pēc formulas 
Tātad
Tālāk
Funkcijas H(α) minimāla vērtība ir sasniedzama pie saucēja maksimālas vērtības, jo skaitītājs ir konstants lielums.
10 sin α maksimāla vērtība ir 10, jo

Tātad
Tālāk
Funkcijas H(α) minimālā vērtība ir sasniedzama, ja sin α
= 1. Tātad un trijstūris ABC ir taisnleņķa.
Atbilde
Atbilde

Trijstūris ABC ir taisnleņķa.